遙遙領先希華石英晶體諧振器隱知識解析,晶振電路無信號輸出?
步驟1-1。請檢查SMD晶振輸入端(Xin)和輸出端(Xout)的電壓,并檢查電壓是否符合IC規范。
步驟1-2。請卸載晶體,并使用專業測試機器測試其頻率和負載電容,看看它們是否振動并符合您的規格。您也可以將其發送給供應商,讓他們為您進行測試。
步驟1-3。如果晶體不振動,其負載電容與您的規格不匹配,或者當前頻率與您的目標頻率之間存在巨大差距,請將晶體發送給您的供應商進行質量分析。
步驟1-4。如果頻率和負載電容符合你的規格,但問題也存在。需要執行振蕩電路評估。您也可以將其發送給供應商,讓他們為您進行測試。
步驟1-5。下圖所示為一般振蕩電路,其中Cd和Cg為外部負載電容,Rf為反饋電阻,Rd為限流電阻。
負電阻(-R)是評價振蕩電路好壞的標準,其值至少應為晶振電阻的5倍,以維持穩定的振蕩。因此,按照以下說明測量負電阻非常重要:
(1)將電阻(Rx)與晶體串聯
(2)從振蕩的起點到終點調整Rx的值。
(3)測量振蕩期間Rx的值。
(4)你將能夠獲得負電阻的值,|-R| = Rx + Re,Re =有效晶體電阻。
步驟1-6。如果IC的負電阻太低,無法驅動電路,我們提出三種解決方案來改善這種情況。
(1)降低限制電阻器(Rd)的值。但是,您還應該確認頻移和晶體驅動電流是否同時符合規格。
(2)降低外部電容(Cg和Cd)的值,采用負載電容(CL)較低的其他晶體。
(3)采用電阻(Rr)較低的晶體。遙遙領先希華石英晶體諧振器隱知識解析.
(mm)
±30ppm
-40 ~ +105℃
±30ppm
-40 ~ +125℃
±30ppm
-40 ~ +105℃
±50ppm
-40 ~ +125℃
±30ppm
-40 ~ +105℃
±50ppm
-40 ~ +125℃
±30ppm
-40 ~ +105℃
±50ppm
-40 ~ +125℃
步驟2-1。如果頻率計測得的頻率超出限值,我們應增加外部電容CL(或Cd & Cg的值),以將頻率降低至我們的目標頻率,反之亦然。
第2-2步。如果頻率遠高于目標頻率,我們可以采用電容較低的晶體,反之亦然。
晶體參數的測試方法是什么?
將“pi電路”連接到具有測量等效常數功能的網絡分析儀,并進行測量。JIS和IEC規定了“pi電路”的形狀和內部電阻,如下所示。
如何描繪振蕩器電路的工作原理?
晶體控制振蕩器可被視為由一個放大器和一個反饋網絡組成,該反饋網絡選擇放大器輸出的一部分并將其返回到放大器輸入。這種電路的一般描述如下所示。
為了使振蕩器電路工作,必須滿足兩個條件:(A)環路功率增益必須等于1。(B)環路相移必須等于0、2π、4π等。弧度
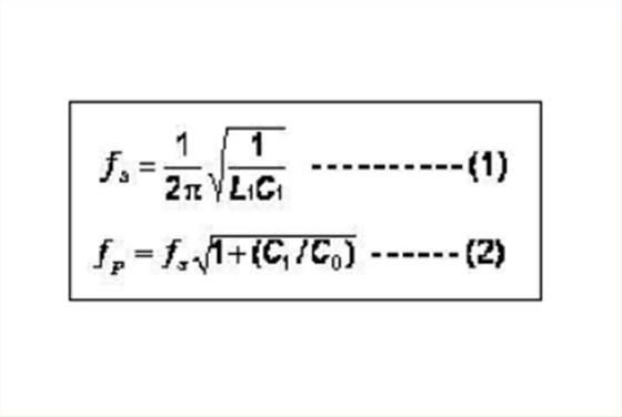
什么是串聯或并聯諧振頻率?
從下圖可以明顯看出,壓電石英晶體單元有兩個零相位頻率。第一個,或兩者中較低的,是串聯諧振頻率,通常縮寫為Fs。零相位的兩個頻率中的第二個或更高的頻率是平行或反諧振頻率,通常縮寫為Fa。在振蕩器電路中,串聯和并聯諧振頻率都表現為電阻性。在串聯諧振點,電阻最小,電流最大。
在并聯點,電阻最大,電流最小。因此,并聯諧振頻率Fa不得用作振蕩器電路的控制頻率。
通過在振蕩器電路的反饋回路中包含電抗元件(通常是電容器),可以使石英晶體單元在串聯和并聯諧振點之間的線上的任意點振蕩。fs和fa頻率由壓電陶瓷材料及其物理參數決定。等效電路常數可由以下公式確定:
晶體的CL值是多少?它對什么有影響?
所有石英晶體諧振器都有一個串聯諧振頻率(fs,最低阻抗的頻率)。在此頻率下,晶體在電路中表現為阻性。通過增加與晶體串聯的電抗(電容),可以將晶體從這個串聯頻率中“拉出來”。當與外部負載電容(CL)一起工作時,晶體在略高于其串聯諧振頻率的頻率范圍內振蕩。這是并聯(負載諧振)頻率。
訂購并聯晶振時,務必指定標稱并聯諧振頻率和負載電容,單位為皮法(pF)。例如,可以訂購CL的標準值(如15pF );然后計算電容值以匹配晶體C1。
Mfr Part #
Mfr
Supplier
Description
Series
Frequency
Frequency Tolerance
Load Capacitance
XTL721-Q23-048
Siward
Siward
CRYSTAL 32.768 KHZ 20PPM CRYSTAL
XTL72
32.768 kHz
±20ppm
6pF
XTL721-S349-005
Siward
Siward
CRYSTAL 32.768 KHZ 20PPM CRYSTAL
XTL72
32.768 kHz
±20ppm
7pF
XTL721-S999-301
Siward
Siward
CRYSTAL 32.768 KHZ 20PPM CRYSTAL
XTL72
32.768 kHz
±20ppm
9pF
XTL721-S999-429
Siward
Siward
CRYSTAL 32.768 KHZ 20PPM CRYSTAL
XTL72
32.768 kHz
±20ppm
6pF
XTL741-S999-319
Siward
Siward
CRYSTAL 32.768 KHZ 20PPM CRYSTAL
XTL74
32.768 kHz
±20ppm
9pF
XTL741-U11-402
Siward
Siward
CRYSTAL 32.768K晶振 20PPM CRYSTAL
XTL74
32.768 kHz
±20ppm
7pF
XTL741-S999-298
Siward
Siward
CRYSTAL 32.768 KHZ 20PPM CRYSTAL
XTL74
32.768 kHz
±20ppm
12.5pF
XTL741-S999-379
Siward
Siward
CRYSTAL 32.768 KHZ 20PPM CRYSTAL
XTL74
32.768 kHz
±20ppm
7pF
XTL741-S999-327
Siward
Siward
CRYSTAL 32.768 KHZ 20PPM CRYSTAL
XTL74
32.768 kHz
±20ppm
4pF
XTL721-S999-286
Siward
Siward
CRYSTAL 32.768 KHZ 20PPM CRYSTAL
XTL72
32.768 kHz
±20ppm
12.5pF
XTL751-S999-544
Siward
Siward
CRYSTAL 32.768 KHZ 20PPM CRYSTAL
XTL75
32.768 kHz
±20ppm
12.5pF
XTL751-S999-548
Siward
Siward
CRYSTAL 32.768 KHZ 20PPM CRYSTAL
XTL75
32.768 kHz
±20ppm
9pF
XTL751-S999-420
Siward
Siward
CRYSTAL 32.768 KHZ 20PPM CRYSTAL
XTL75
32.768 kHz
±20ppm
7pF
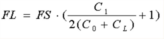
負載頻率取決于CL值,其公式如下所示。
如果輸出晶振頻率高于目標頻率,則應增加外部電容CL(或Cd & Cg的值),以將頻率降至目標頻率。另一種方法是,如果頻率高于中心頻率,則采用電容較低的晶體。
晶體的頻率牽引能力不夠或牽引范圍不對稱。
(1)如下圖所示,電路的負載電容與牽拉性成反比。結果表明,負載電容越小,頻率牽引范圍越大,反之亦然。
(2)另一方面,無源晶體特性也影響頻率牽引范圍。例如,有配平靈敏度(TS)、一氧化碳和C1。負載電容增量變化的小數頻率變化稱為TS。當C1變大或Co變小時,頻率牽引能力變大。
(3)如果提拉范圍不對稱,即一邊提拉不夠,另一邊提拉太大,我們可以調整晶體的負載電容值。





TXC晶振,貼片晶振,7M晶振
TXC晶振,貼片晶振,7S晶振
TXC晶振,貼片晶振,7A晶振
微晶晶振,32.768K晶振,CM9V-T1A壓電石英晶體


